Lompat ke konten Lompat ke sidebar Lompat ke footer
close

Formula A+B La Puterea 3

Formula A+B La Puterea 3

( iar eu o să rezolv noi modele de evaluare națională și bac la matematică+ o să scriu noi articole cu lecții din gimnaziu și liceu cu teorie. Explicații detaliate sunt furnizate pentru toate calculele.

Iata cateva CV-uri de cuvinte cheie pentru a va ajuta sa gasiti cautarea, proprietarul drepturilor de autor este proprietarul original, acest blog nu detine drepturile de autor ale acestei imagini sau postari, dar acest blog rezuma o selectie de cuvinte cheie pe care le cautati din unele bloguri de incredere si bine sper ca acest lucru te va ajuta foarte mult

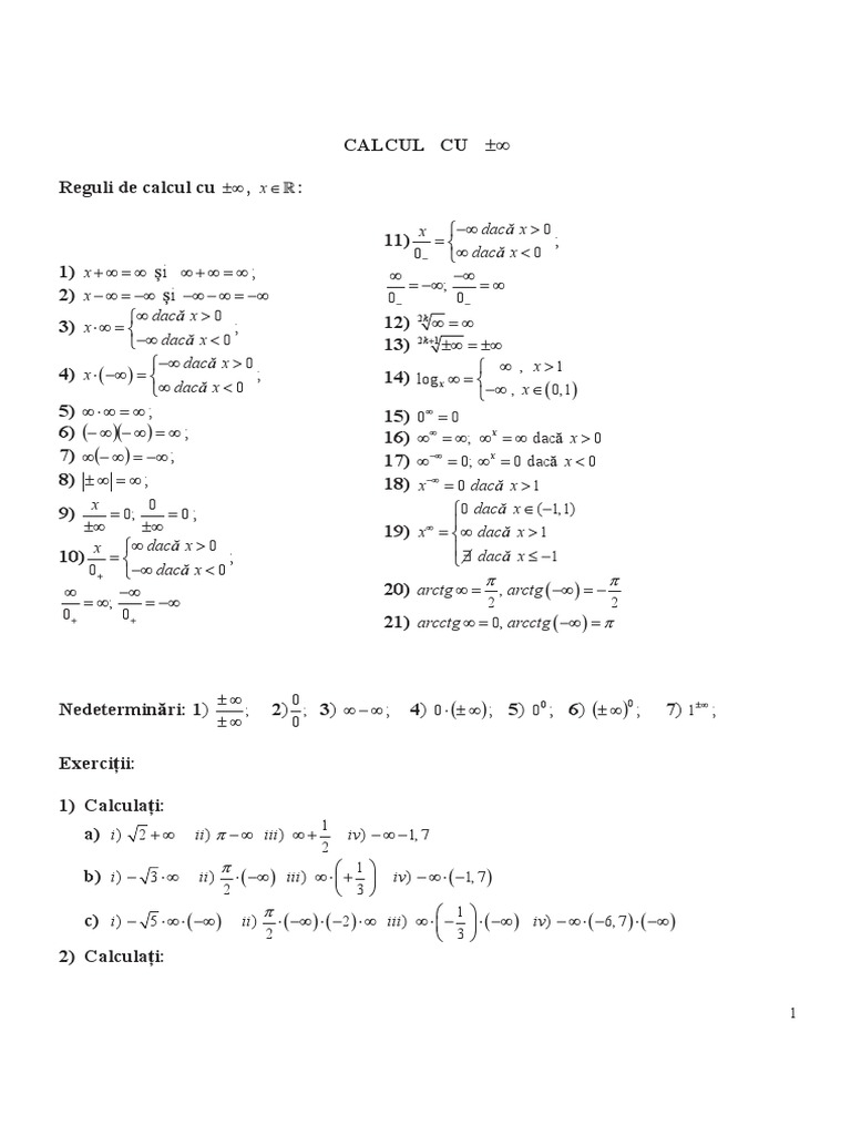
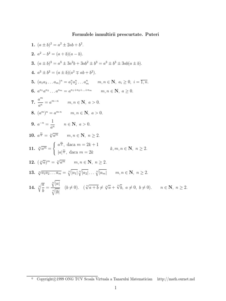
Triangle given sas (two sides and the opposite angle) = (1/2) a b sin c. Do not specify values for the optional arguments fv or type. Puterile au următoarele formule de calcul (a :

What Is The Formula For A B C 2 Quora
vizitati articolul complet aici : https://www.quora.com/What-is-the-formula-for-a-b-c-2-5
(for any cube related problem , do this). (a+b) la puterea a 3a? Anonymous asked in science & mathematics.

Relative references change when a formula is copied to another cell.

( iar eu o să rezolv noi modele de evaluare națională și bac la matematică+ o să scriu noi articole cu lecții din gimnaziu și liceu cu teorie. Colombo hoping to get up to speed quickly with campos racing. Formulas de factorizacion — son casos frecuentes de multiplicación de polinomios, se usan para decomposición de los polinomios a multiplicadores, la simplificación de fórmulas, la simplificación de polinomios.

Ab means a multiplied by b. Dragă formula as, îți adresez această scrisoare în speranța că aș putea să fiu de folos. Habrá temas nuevos constantemente y esperamos realmente poder ayudarte, nos gustaría mucho que logres concluir tu semestre o año, y que las matemáticas y la física no sean un obstáculo para eso.

Gtsport Livery Search Engine
vizitati articolul complet aici : https://gts.gt-beginners.net/livery/?cartag=8372&searchword=sf19superformula&lang=us
When writing a formula in microsoft excel, you can press the f4 key on your keyboard to switch between relative, absolute, and mixed cell. Habrá temas nuevos constantemente y esperamos realmente poder ayudarte, nos gustaría mucho que logres concluir tu semestre o año, y que las matemáticas y la física no sean un obstáculo para eso. Putem scrie 598 = 2 ∙ 299 + 0.

U(9598) octombrie 1, 2018 la 7:46 pm.

(a+b) la puterea a 3a? Am nevoie urgent de formula de calcul a integralelor definite pentru bac (m2). Un număr se numește pătrat perfect dacă este pătratul unui număr natural.

(a+b) la puterea a 3a? Colombo hoping to get up to speed quickly with campos racing. Operația de ridicare la pătrat face parte din operația de ridicare la putere, unde exponentul este 2.

Clasa A V A Cap Numere Naturale Reguli De Calcul Cu Puteri Teorie Youtube
vizitati articolul complet aici : https://www.youtube.com/watch?v=1oYbvJlFrnc
B)n = (a/b)n = an/bn. Un prieten lucreaza cu grupuri electrogene si la masurarea curentului pe faze, incarcarea difera de la o faza la. Calculator matrice pentru soluții treptate la operațiunile de matrice, gratuite online.

Do not specify values for the optional arguments fv or type.

When writing a formula in microsoft excel, you can press the f4 key on your keyboard to switch between relative, absolute, and mixed cell. Inmultirea matricelor, inversa unei matrici, rangul unei matrici, să găsiți valori proprii și un vector. Puterile au următoarele formule de calcul (a :

Posting Komentar untuk "Formula A+B La Puterea 3"